1. THÔNG TIN CHUNG
– Tên cơ sở đào tạo: Khoa Kỹ thuật và Công nghệ – Đại học Huế (tên viết tắt: HUET)
– Mã cơ sở đào tạo: DHE
– Địa chỉ: 01 Điện Biên Phủ, Phường Thuận Hóa, Thành phố Huế
27 Phan Đình Phùng, Phường Thuận Hóa, Thành phố Huế
– Cổng thông tin điện tử: huet.hueuni.edu.vn
(Trang thông tin tuyển sinh: https://www.facebook.com/huet.hueuni)
– Điện thoại liên hệ: 0234.3845799
– Email: tuyensinh.huet@hueuni.edu.vn
2. PHẠM VI TUYỂN SINH: tuyển sinh trong phạm vi cả nước.
3. PHƯƠNG THỨC TUYỂN SINH
Khoa Kỹ thuật và Công nghệ – Đại học Huế (Khoa KT&CN) xét tuyển theo 5 phương thức xét tuyển chung với thang điểm tối đa 30 điểm. Các tổ hợp xét tuyển được xét tương đương nhau và xét tuyển theo thứ tự ưu tiên Điểm xét tuyển (ĐXT) từ cao xuống thấp và xét đến khi đủ chỉ tiêu. Các phương thức xét cụ thể như sau:
3.1. Phương thức 1 (301): Xét tuyển thẳng, ưu tiên xét tuyển theo quy định của Quy chế tuyển sinh hiện hành của Bộ GD&ĐT (XTT).
Khoa KT&CN xét tuyển thẳng và ưu tiên xét tuyển vào đại học hệ chính quy năm 2026 với thí sinh là đối tượng được quy định tại Điều 8 của Quy chế tuyển sinh hiện hành.
Thông tin chi tiết sẽ được quy định cụ thể tại Thông báo về việc xét tuyển thẳng, ưu tiên xét tuyển của Đại học Huế
3.2. Phương thức 2 (100): Xét tuyển sử dụng kết quả thi tốt nghiệp trung học phổ thông (THPT).
Khoa KT&CN xét tuyển sử dụng kết quả của kỳ thi tốt nghiệp THPT năm 2026 cho tất cả các ngành đào tạo.
– Điểm các môn trong tổ hợp môn xét tuyển được lấy từ kết quả thi tốt nghiệp THPT năm 2026.
– Khoa KT&CN không sử dụng kết quả miễn thi bài thi môn ngoại ngữ của kỳ thi tốt nghiệp THPT.
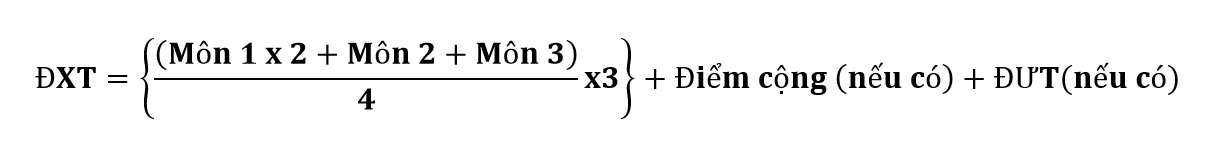
– Điểm xét tuyển làm tròn đến 02 chữ số thập phân, tối đa là 30 điểm và tính như sau:

trong đó,
+ ĐXT: Điểm xét tuyển;
+ ĐƯT: Điểmđối tượng ưu tiên, khu vực ưu tiên (Theo quy chế Bộ GD&ĐT), giảm dần từ mức 22,5 điểm để đảm bảo không vượt tổng 30 điểm;
+ Điểm cộng: Điểm thưởng đối với thí sinh có thành tích trong các kỳ thi chọn học sinh giỏi, thí sinh có chứng chỉ ngoại ngữ, HS giỏi cấp THPT, HS THPT chuyên,… (theo quy định tại phần b mục 5); Thí sinh có thể áp dụng đồng thời nhiều mức điểm cộng tương ứng với các thành tích đạt được tuy nhiên Điểm cộng không vượt 10% mức điểm tối đa của thang điểm xét tuyển (3 điểm/ thang 30 điểm).
3.3. Phương thức 3 (200): Xét tuyển sử dụng kết quả học tập cấp trung học phổ thông (học bạ).
– Khoa KT&CN sử dụng kết quả học tập cấp trung học phổ thông để xét tuyển cho tất cả các ngành đào tạo.
– Điểm các môn trong tổ hợp môn xét tuyển là điểm trung bình chung mỗi môn học (làm tròn đến 1 chữ số thập phân) của 04 học kỳ (02 học kỳ năm học lớp 11 và 02 học kỳ năm học lớp 12).
– Điểm xét tuyển làm tròn đến 02 chữ số thập phân, tối đa là 30 điểm và tính như sau:

trong đó,
+ ĐXT: Điểm xét tuyển;
+ Quy tắc quy đổi tương đương thực hiện theo quy định chung của Đại học Huế;
+ ĐƯT: Điểmđối tượng ưu tiên, khu vực ưu tiên (Theo quy chế Bộ GD&ĐT), giảm dần từ mức 22,5 điểm để đảm bảo không vượt tổng 30 điểm;
+ Điểm cộng: Điểm thưởng đối với thí sinh có thành tích trong các kỳ thi chọn học sinh giỏi, thí sinh có chứng chỉ ngoại ngữ, HS giỏi cấp THPT, HS THPT chuyên,… (theo quy định tại phần b mục 5); Thí sinh có thể áp dụng đồng thời nhiều mức điểm cộng tương ứng với các thành tích đạt được tuy nhiên Điểm cộng không vượt 10% mức điểm tối đa của thang điểm xét tuyển (3 điểm/ thang 30 điểm).
3.4. Phương thức 4: Xét tuyển sử dụng kết quả thi tốt nghiệp THPT hoặc kết quả học tập cấp THPT kết hợp chứng chỉ ngoại ngữ.
– Điểm chứng chỉ ngoại ngữ được quy đổi thành điểm 1 môn tương ứng môn ngoại ngữ trong tổ hợp môn xét tuyển (bảng quy đổi tại mục 3.3).
– Điểm xét tuyển được tính như phương thức 2 và 3 tương ứng.
3.5. Phương thức 5: Xét tuyển sử dụng kết quả thi đánh giá năng lực năm 2026 của Đại học quốc gia TP.HCM (Điểm ĐGNL).
– Điểm xét tuyển làm tròn đến 02 chữ số thập phân, tối đa là 30 điểm và tính như sau:
trong đó,
+ Điểm ĐGNL: Điểm đánh giá năng lực;
+ Quy tắc quy đổi tương đương thực hiện theo quy định chung của Đại học Huế;
+ ĐƯT: Điểmđối tượng ưu tiên, khu vực ưu tiên (Theo quy chế Bộ GD&ĐT), giảm dần từ mức 22,5 điểm để đảm bảo không vượt tổng 30 điểm;
+ Điểm cộng: Điểm thưởng đối với thí sinh có thành tích trong các kỳ thi chọn học sinh giỏi, thí sinh có chứng chỉ ngoại ngữ, HS giỏi cấp THPT, HS THPT chuyên,… (theo quy định tại phần b mục 5); Thí sinh có thể áp dụng đồng thời nhiều mức điểm cộng tương ứng với các thành tích đạt được tuy nhiên Điểm cộng không vượt 10% mức điểm tối đa của thang điểm xét tuyển (3 điểm/ thang 30 điểm).
4. CHỈ TIÊU DỰ KIẾN
| TT | Ngành học | Mã ngành | Tổ hợp môn xét tuyển | Mã tổ hợp môn xét tuyển | Phương thức xét tuyển | Chỉ tiêu (dự kiến) | Ghi chú |
| 1 | Khoa học dữ liệu và Trí tuệ nhân tạo (hệ kỹ sư)(03 chuyên ngành: Khoa học dữ liệu; Trí tuệ nhân tạo; Phân tích dữ liệu kinh doanh) | 7480112KS | 1. Toán*, Vật lí, Hóa học 2. Toán*, Vật lí, Tiếng Anh 3. Toán*, Vật lí, Ngữ văn 4. Toán*, Ngữ văn, Tiếng Anh 5. Toán*, Vật lí, CN công nghiệp 6. Toán*, Tin học, Tiếng Anh | A00 A01 C01 D01 X07 X26 | PT 1 PT 2 PT 3 PT 4 PT 5 | 50 | |
| 2 | Kỹ thuật máy tính (Dự kiến mở) (2 chương trình đào tạo) | 7480106 | 35 | ||||
| 3 | Kỹ thuật điện (hệ kỹ sư và cử nhân) (03 chuyên ngành: Năng lượng tái tạo; Tòa nhà thông minh; Điện công nghiệp) | 7520201 | 1. Toán*, Vật lí, Hóa học 2. Toán*, Vật lí, Tiếng Anh 3. Toán*, Vật lí, Ngữ văn 4. Toán*, Ngữ văn, Tiếng Anh 5. Toán*, Vật lí, CN công nghiệp 6. Toán*, Hóa học, Ngữ văn | A00 A01 C01 D01 X07 C02 | PT 1 PT 2 PT 3 PT 4 PT 5 | 50 | |
| 4 | Kỹ thuật điều khiển và tự động hóa (hệ kỹ sư và cử nhân) (03 chuyên ngành:Hệ thống nhúng; Tự động hóa công nghiệp; Kỹ thuật Robot) | 7520216 | 70 | ||||
| 5 | Công nghệ kỹ thuật điện, điện tử (hệ kỹ sư và cử nhân) (2 chương trình đào tạo: Công nghệ thiết kế vi mạch; Công nghệ kỹ thuật điện, điện tử) | 7510301 | 60 | ||||
| 6 | Kỹ thuật xây dựng (hệ kỹ sư) | 7580201 | 1. Toán*, Vật lí, Hóa học 2. Toán*, Vật lí, Tiếng Anh 3. Toán*, Vật lí, Ngữ văn 4. Toán*, Ngữ văn, Tiếng Anh 5. Toán*, Hóa học, Ngữ văn | A00 A01 C01 D01 C02 | PT 1 PT 2 PT 3 PT 4 PT 5 | 30 | |
| 7 | Công nghệ kỹ thuật ô tô (hệ kỹ sư và cử nhân) (3 chuyên ngành: Công nghệ ô tô điện; Kiểm định và dịch vụ ô tô; Thiết kế ô tô) | 7510205 | 1. Toán*, Vật lí, Hóa học 2. Toán*, Vật lí, Tiếng Anh 3. Toán*, Vật lí, Ngữ văn 4. Toán*, Ngữ văn, Tiếng Anh 5. Toán*, Vật lí, CN công nghiệp | A00 A01 C01 D01 X07 | PT 1 PT 2 PT 3 PT 4 PT 5 | 100 | |
| Tổng | 395 |
5. QUY ĐỔI CHỨNG CHỈ NGOẠI NGỮ
Các chứng chỉ tiếng Anh trong thời hạn 02 năm tính đến ngày 12/8/2026 quy đổi thành điểm môn tiếng anh trong xét tuyển như sau:
| STT | Trường sử dụng chứng chỉ để xét tuyển | Chứng chỉ | Khung năng lực ngoại ngữ 6 bậc dùng cho Việt Nam | Khung tham chiếu Châu Âu | Mức điểm | Điểm quy đổi sang thang điểm 10 | Điểm cộng |
| 1 | Khoa Kỹ thuật và Công nghệ | VSTEP | Bậc 3 | B1 | 5,5 | 8,0 | 1,0 |
| Bậc 4 | B2 | 6,0 – 6,5 | 8,5 | 1,5 | |||
| 7,0 – 7,5 | 9,0 | 2,0 | |||||
| 8,0 | 9,5 | 2,5 | |||||
| Bậc 5 | C1 | >=8,5 | 10 | 3,0 | |||
| 2 | Khoa Kỹ thuật và Công nghệ | IELTS | Bậc 3 | B1 | 5,0 | 8,0 | 1,0 |
| Bậc 4 | B2 | 5,5 | 8,5 | 1,5 | |||
| 6,0 | 9,0 | 2,0 | |||||
| 6,5 | 9,5 | 2,5 | |||||
| Bậc 5 – Bậc 6 | C1 – C2 | >=7,0 | 10 | 3,0 | |||
| 3 | Khoa Kỹ thuật và Công nghệ | TOEFL iBT | Bậc 3 | B1 | 35 – 45 | 8,0 | 1,0 |
| Bậc 4 | B2 | 46 – 59 | 8,5 | 1,5 | |||
| 60 – 78 | 9,0 | 2,0 | |||||
| 79 – 93 | 9,5 | 2,5 | |||||
| >=94 | 10 | 3,0 | |||||
| 4 | Khoa Kỹ thuật và Công nghệ | TOEIC (4 kỹ năng) | Bậc 3 | B1 | Nghe: 275-399 Đọc: 275-384 Nói: 120-159 Viết: 120-149 | 8,5 | 2,0 |
| Bậc 4 | B2 | Nghe: 400-489 Đọc: 385-454 Nói: 160-179 Viết: 150-179 | 9,0 | 2,5 |